평면응력 & Mohr 응력원

비행기 스트레스란?

가상 절단을 경사 절단으로 설정한 평면 응력을 공식화하고 표현할 수 있습니까?

평면 응력 상태의 단일 요소가 선형 탄성 영역에서 거동하고 Hooke의 법칙이 성립한다면 이 평면 응력의 응력과 변형률 사이의 관계를 수학적으로 표현할 수 있습니까?

비행기 스트레스란?

얇은 시트처럼 예를 들어축 응력을 고려할 필요가 없는 경우, 엑스, 제이끝면에만 응력이 가해지고 모든 응력, 즉 수직 응력, 전단 응력 엑스, 제이축에 평행하게 작용하는 응력을 평면 응력이라고 합니다.


가상 절단을 경사 절단으로 설정한 평면 응력을 공식화하고 표현할 수 있습니까?



1. 앵글 ?때 경사 단면에 대한 평면 응력의 수직 응력 및 전단 응력 성분.



2. 각도 ?평면응력의 법선응력 성분 및 전단응력 성분(Conjugate Normal Stress & Conjugate Shear Stress)



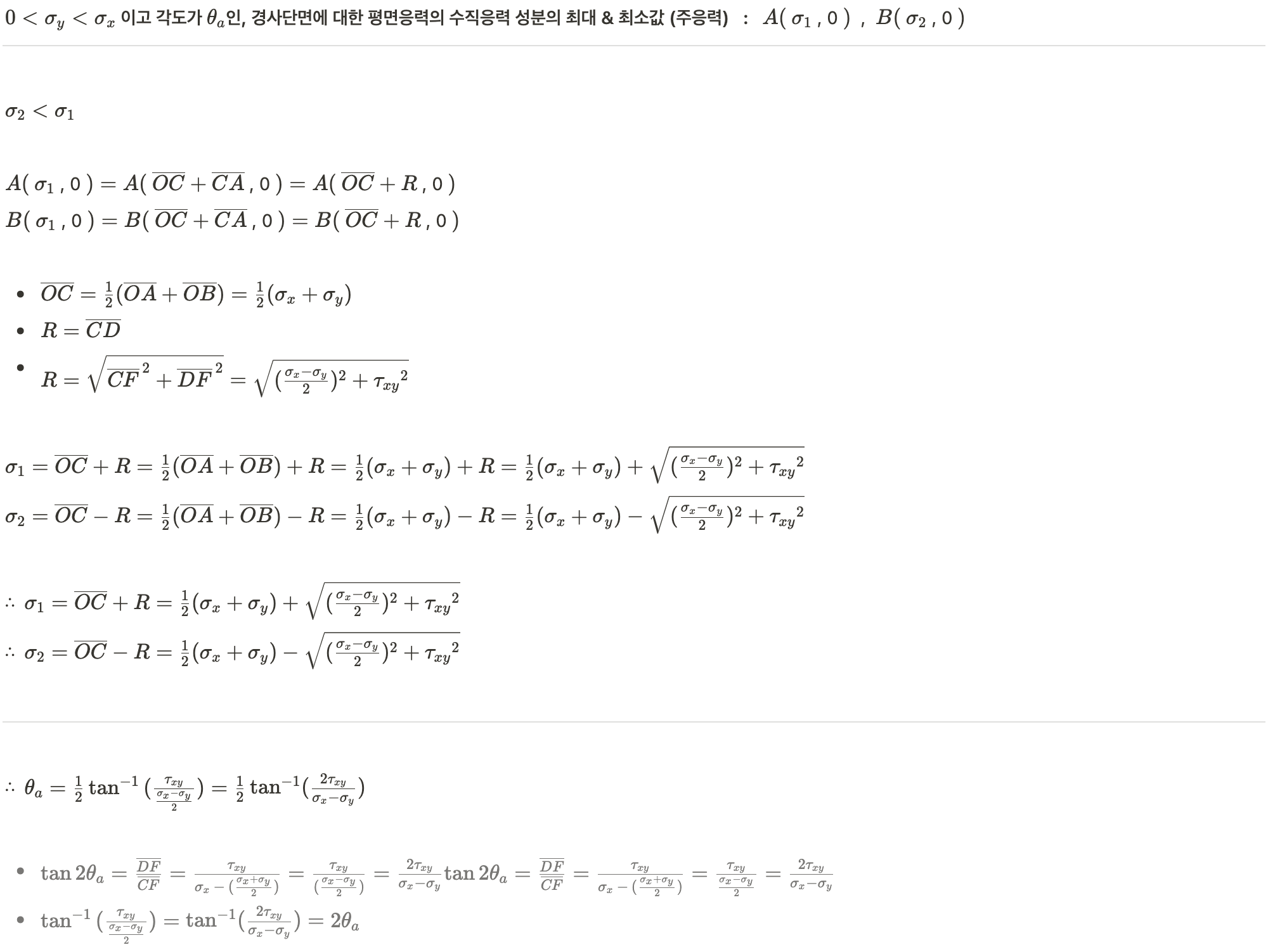
플레인 전압에 대한 Mohr 전압원을 그리고 이를 통해 전압을 분석할 수 있습니까?


평면 응력에 대한 Mohr 응력 원 그리기




표면 응력에 대한 Mohr 응력원에 의한 응력 분석




예.





평면 응력 상태의 단일 요소가 선형 탄성 영역에서 거동하고 Hooke의 법칙이 성립한다면 이 평면 응력의 응력과 변형률 사이의 관계를 수학적으로 표현할 수 있습니까?